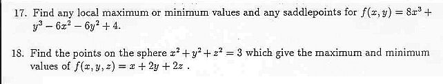
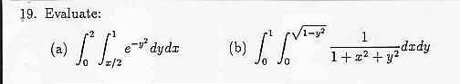
Cal III Exam Dec 94