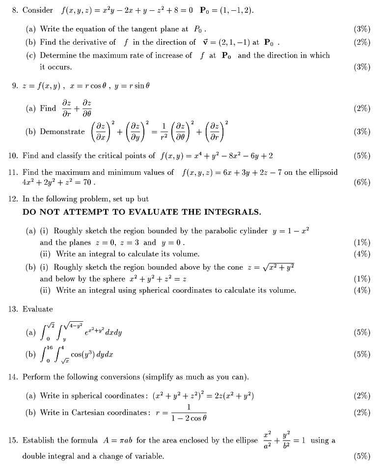
Cal III Spring 2000 Exam
(You can also get this in
PDF format
, but you will need to download the graphs separately:
Question 6
and
Question 7
.)
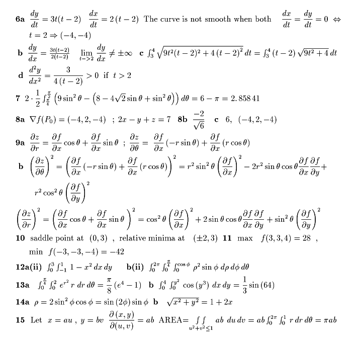
Cal III Solutions
(You can also get this in
PDF format
.)