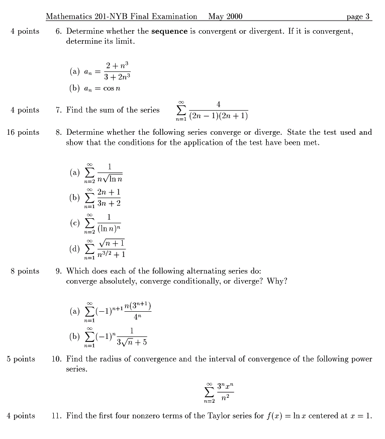
NYB Exam May 2000

(Also available in PDF format but you will need Figure 1 and Figure 2 as well.)

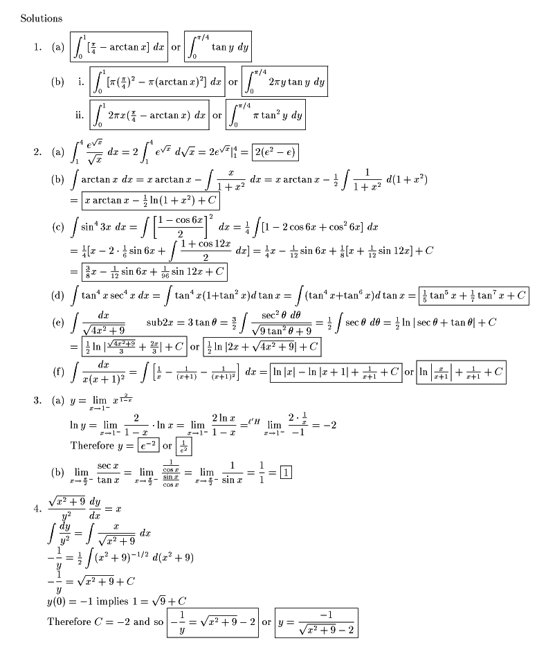
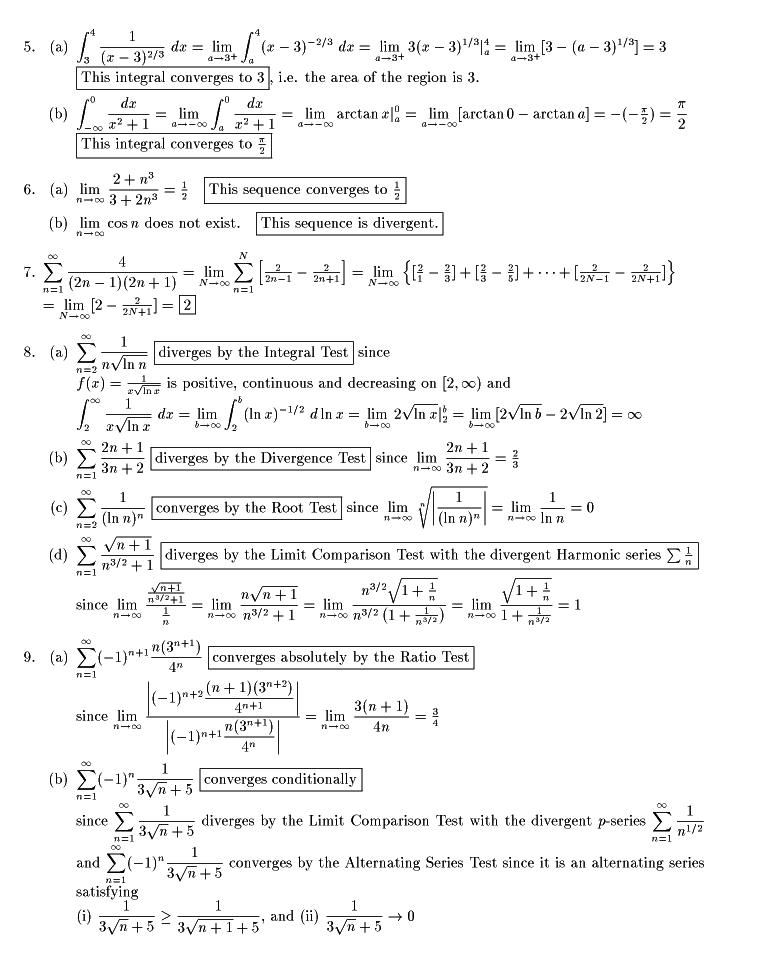
Answers

(Also available in PDF format.)