Cal II (S) - 99-3 Exam

(Best printed in landscape mode)
(Also check the corrections at the bottom of this page.)

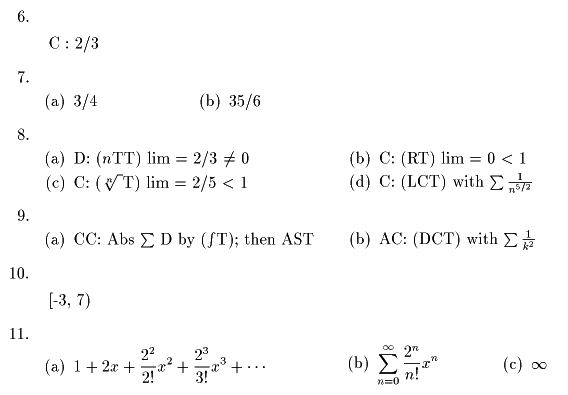
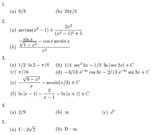
Answers

Errata

Question 9(b) should start with k = 1 (and not 0).
The answer to question 2(b) should have a sin2x in the denominator.